Sometimes, there are, indeed, too many cooks in the kitchen.
Team size can make a big difference in the success of your service or product. What is counterintuitive for most people is that the larger the team size, the lower the likelihood of success for your service or product. Why? Entropy can set in and large teams are inherently bad vehicles for communication. In what follows, I show quantitatively how team size does have an impact on the effectiveness of communication and the eventual success of the service or product.
The Amazon 2 Pizza Team
When I was at Amazon, teams were organized into small, delta teams called “2-pizza teams”: no team should be larger than 2 pizzas can feed. It’s a great approach to team size. In my short career, I’ve learned how true that rule is. Here’s another thing I’ve learned
- 2 people are smarter than one
- 3, 4, 5, 6, 7, 8 people are smarter than 2
- a team larger than 9 people is just a big dumb gelatinous blob (acronym: BDGB)
Okay, that’s not true at a wholesale level, but it sure feels like it. A small team with highly smart and capable team members can do much more than 10 mediocre team members. The Wisdom of Crowds mentality doesn’t work that well when it comes to efficiency in teams.
Science Behind Unmanaged Communication Explosion
A more quantitative explanation is as follows:
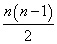
One of the root causes of failure in projects is communication ” either a lack thereof, miscommunication, or hand-off’s. Large teams are inherently vehicles for bad communication. This is basic combinatorics ” for a given project, suppose there are persons A and B. In this scenario there is only 1 communication link. Add person C, now we have 3 communication links, A-B, B-C, C-A. Add person D, then we have 6; Add person E, then we have 10 communication links. Inductively, as team size grows, the raw combinatoric communication link counts grows geometrically, not linearly. To demonstrate this, we use basic statistics of the form n-choose-r, where !, such as n!, is equivalent to n factorial, to arrive at the formula for how many pairs we can choose from n items:

For the number of pairs, we can reduce the above formula to the following:

Visually, as team size grows, the communication links grows non-linearly, but exponentially:

A Rejoinder
Do not let the above dissuade you from large teams; if the product requires a large team, then that is what is needed. Caution, is what I am arguing here. The facts are that the larger the team, the more communication channels there are and the entire process then becomes more error-prone. If the product requires a large team, then expect the above challenge and manage it.
A Conclusion
There is wisdom in Bezos’ notion of the 2-Pizza Team. Small teams — provided you have the right people — work incredibly well. Also, there is wisdom in Toyota’s usage of Obeya or The Big Room as a way to mitigate defects caused by large teams. A combining of the two will most likely make for a great team and a successful product.









No responses / comments so far.